The Power of Hydrogen Bonds in Alcohols: Small Forces, Big Impacts
Estimated reading time: 9 minutes
Why does alcohol dissolve so easily in water compared to many other organic compounds? Or why do alcohols have relatively high boiling points, even when their molecular weight is low? The answer lies in hydrogen bonding in alcohols.
Alcohols contain an –OH group, which allows them to form hydrogen bonds. This bonding plays a key role in their behavior, affecting properties like solubility, boiling point, viscosity, and volatility. This article explains how hydrogen bonding shapes these characteristics and sets alcohols apart from other organic compounds.
Before we dive deeper, let’s briefly review what hydrogen bonding is.
What Is Hydrogen Bonding?
Definition
Hydrogen bonding is a weak attraction between a hydrogen atom (H) covalently bonded to a highly electronegative atom (like nitrogen, oxygen, or fluorine) and another electronegative atom in the same or a different molecule.
How Does It Work?
- Electronegativity Effect: When hydrogen bonds with a highly electronegative atom, such as fluorine (F), oxygen (O), or nitrogen (N), the shared electrons are pulled closer to the electronegative atom. This gives hydrogen a partial positive charge (δ⁺).
- Intermolecular Attraction: The slightly positive hydrogen is then attracted to a nearby partially negative electronegative atom in another molecule. This interaction forms a hydrogen bond, or H-bond.
Types of Hydrogen Bonding
1. Intermolecular Hydrogen Bonding
This type of hydrogen bonding occurs between molecules of the same or different substances.
Examples:
- Water (H₂O)
- Water molecules form extensive hydrogen bonds — each H₂O molecule can form up to four.
- This explains water’s high boiling point, high surface tension, and unusual density behavior.
For instance, ice is less dense than liquid water — a rare trait, as most solids are denser than their liquid form.

- Hydrofluoric Acid (HF)
- Due to strong hydrogen bonding, HF remains a liquid instead of becoming a gas at room temperature.
- Ammonia (NH₃)
- Hydrogen bonding between NH₃ molecules makes it more soluble in water.
- Alcohols (Ethanol, Methanol, etc.)
- The –OH group forms hydrogen bonds, increasing solubility in water.
2. Intramolecular Hydrogen Bonding
- Occurs within the same molecule, influencing its shape and stability.
- It lowers the boiling point because it affects how molecules interact with their neighbors. Examples:
- Salicylic Acid
- o-Nitrophenol – The –OH group forms a hydrogen bond with the –NO₂ group within the same molecule.

Interestingly, while o-nitrophenol shows intramolecular hydrogen bonding, p-nitrophenol, conversely, exhibits intermolecular hydrogen bonding. Hence, the boiling point of the para isomer is higher than that of the meta isomer.
Why does ice float on water?
The floating or sinking of a substance in a liquid depends on its density relative to the liquid’s. When the density of the substance is greater than that of the liquid, it sinks.
Solids are denser than liquid forms because their particles are packed more closely. However, ice is an exception due to hydrogen bonding.

When water freezes, hydrogen bonds lock the molecules into a rigid, open hexagonal structure. This arrangement creates more space between the molecules than in liquid water. Thus, ice is less dense than liquid water, which is why it floats.
This is why icebergs float in the ocean and ice forms on the surface of lakes. The layer of ice insulates the water below, allowing aquatic life to survive during winter.
As water cools down, its density increases — but only until it reaches 4°C. Below that, water starts expanding instead of contracting. This expansion makes it less dense as it continues to cool and eventually freezes.
This unique behavior prevents lakes and oceans from freezing solid, which would make life in cold regions nearly impossible. Hydrogen bonding is the reason water behaves this way. It’s one of the few substances that expands when cooled — a rare and life-sustaining property.
Effects of Hydrogen Bonding on Physical Properties
1. High Boiling and Melting Points
Substances with hydrogen bonding have higher boiling and melting points than expected.
Example: Water (H₂O) has a much higher boiling point than hydrogen sulfide (H₂S) because of strong hydrogen bonds.
2. Increased Solubility
Polar molecules like alcohols and sugars dissolve easily in water due to hydrogen bonding between solute and solvent molecules.
3. Water’s Density Anomaly
Ice is less dense than water because hydrogen bonding forms an open lattice in the solid state.
This explains why ice floats and why water is densest at 4°C.
4. Surface Tension and Capillary Action
Hydrogen bonding creates cohesion between water molecules.
This gives water high surface tension, allowing insects to walk on it. It also enables capillary action, helping plants pull water and nutrients upward through their stems.
Effects of Hydrogen Bonding on Biological Properties
1. DNA Stability
The double helix is held together by hydrogen bonds between base pairs:
Adenine (A) – Thymine (T): 2 hydrogen bonds
Guanine (G) – Cytosine (C): 3 hydrogen bonds

2. Protein Folding
Hydrogen bonds stabilize secondary and tertiary structures, shaping proteins such as enzymes.
3. Medicines & Drug Design
Many drugs bind to enzymes and receptors through hydrogen bonding.
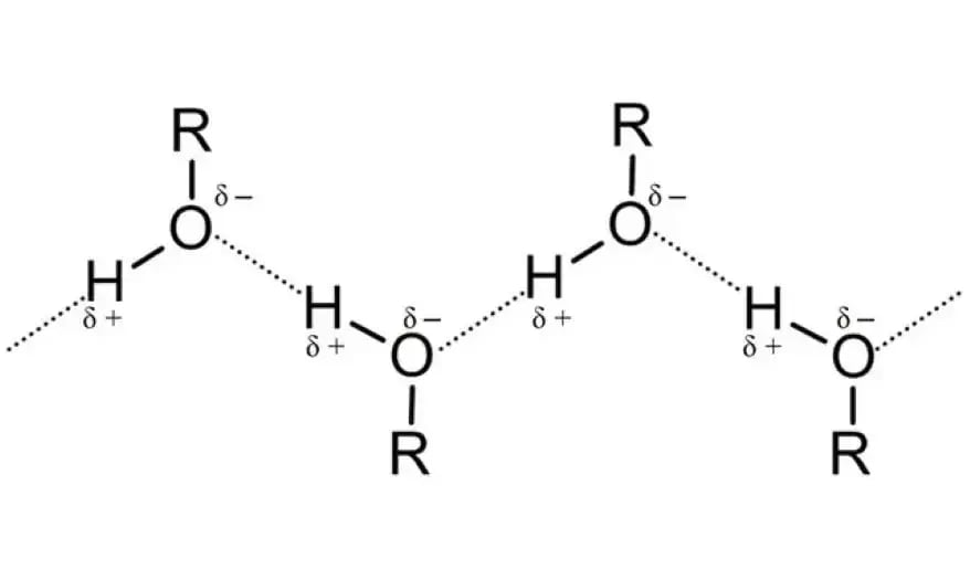
Hydrogen Bonding in Alcohols
Solubility
Alcohols are relatively more soluble in water, especially compared to other organic compounds of similar molecular weight. The hydroxyl group (–OH) present in alcohols is capable of forming hydrogen bonds with water molecules. Since water itself is a highly polar solvent and forms extensive hydrogen bonds, it interacts strongly with any molecule that can participate in similar bonding.
There is a decrease in solubility with an increase in the length of the hydrocarbon chain. This is because the nonpolar alkyl portion of the alcohol does not participate in hydrogen bonding and tends to “resist” mixing with polar water molecules. As a result, lower alcohols (like methanol, ethanol, and propanol) are completely miscible with water, while higher alcohols become progressively less soluble.
In contrast, compounds like alkanes, ethers, or halides, which cannot form strong hydrogen bonds with water, show much lower solubility, even if they have similar molecular weights.
The chart below summarizes this.

Boiling Point
The boiling point is tied to the strength of intermolecular forces in a substance. The stronger the forces holding molecules together, the more energy (in the form of heat) is required to separate them into the gas phase.
As a result of extensive H-bonding, alcohols require much more energy to boil, giving them unusually high boiling points compared to compounds of similar molar mass that cannot hydrogen bond. The following table illustrates this.
| Compound | Formula | Boiling Point |
|---|---|---|
| Ethanol | CH3CH2OH | 78°C |
| Propanol | CH3(CH2)2OH | 98°C |
| Diethyl Ether | (CH3CH2)2O | 34°C |
| Propyl Amine | CH3(CH2)2NH2 | 48°C |
| Trimethylamine | (CH3)3N | 3°C |
| Acetic Acid | CH3CO2H | 118°C |
Viscosity
Hydrogen bonding significantly increases the viscosity of alcohols. The hydroxyl (–OH) groups in alcohols form a network of H-bonds that make it harder for molecules to move past each other. As a result, alcohols with more –OH groups or longer chains tend to be more viscous.
For example, methanol has a low viscosity of about 0.59 mPa·s, while ethanol and propanol are slightly more viscous at 1.20 and 1.95 mPa·s, respectively. In contrast, glycerol, which contains three hydroxyl groups, has an exceptionally high viscosity of around 945 mPa·s at 20°C.

Volatility
Hydrogen bonding has a major impact on the volatility of alcohols, which is a measure of how readily a substance evaporates. In general, stronger intermolecular forces result in lower volatility. Because more energy is required to separate molecules and allow them to enter the gas phase. Thus, alcohols are typically less volatile than other compounds of similar molecular weight that lack hydrogen bonding.
For example, though small, ethanol is much less volatile than diethyl ether. Hence, it cannot donate hydrogen bonds and thus evaporates more readily.
Industrial Applications
Hydrogen Bonding plays a critical role in many industrial processes. The high boiling point of alcohols, caused by strong hydrogen bonds, makes them ideal for applications requiring temperature stability. For instance, ethanol is widely used as a solvent in chemical reactions.
Conclusion
Hydrogen bonds are more than just “glue” between molecules. They impact the properties of chemical systems. In advanced chemistry, you will see that they impact NMR Spectra, acidity and basicity, catalysis, and a lot more.
In alcohols, with increased bonding, there is an increase in solubility, boiling point, and viscosity, and a decrease in volatility.
Until next time, happy exploring!
Additionally, to stay updated with the latest developments in STEM research, visit ENTECH Online. This is our digital magazine for science, technology, engineering, and mathematics. Furthermore, at ENTECH Online, you’ll find a wealth of information.
FAQ’s
1. Why are covalent bonds stronger than H-bonds?
Hydrogen bonds are based on electrostatic attraction, while covalent bonds involve electron sharing. This makes covalent bonds much stronger (typically 150–400 kJ/mol)in comparison to H-bonds (5–40 kJ/mol).
2. Why does H-bonding only occur with N, O, and F?
These three elements are:
- Highly electronegative, pulling electron density away from hydrogen
- Small in size, allowing for close interaction with hydrogen.
3. Why is the density of ice less than that of water?
Hydrogen bonding in ice creates an open lattice structure, which causes ice to expand and become less dense than liquid water.
4. Why do larger alcohols have lower solubility in water?
Larger alcohols have longer hydrophobic carbon chains. These chains resist water interaction. The hydroxyl group’s hydrogen bonding becomes less significant, reducing solubility.
5. How does an increase in Hydrogen Bonding in Alcohols impact their properties?
With an increase in hydrogen bonding in alcohols, there is an increase in solubility, boiling point, and viscosity, and a decrease in volatility.
References
- Samuel, H. S., Nweke-Maraizu, U., & Etim, E. E. (2023). Understanding intermolecular and intramolecular hydrogen bonds: Spectroscopic and computational approaches. Journal of Chemical Reviews, 5(3), 231–251. https://doi.org/10.48309/jcr.2023.407989.1235
- Głowacki, E. D., Irimia-Vladu, M., Bauer, S., & Sariciftci, N. S. (2013). Hydrogen-bonds in molecular solids – from biological systems to organic electronics. Journal of Materials Chemistry B, 1(31), 3742–3753. https://doi.org/10.1039/C3TB20193G



